上海新益气动元件有限公司 - 三十年气动元件研发经验
咨询电话
济南分公司:0531-87115188
大连经营部:13941174898
北京经营部: 010-67263188
文章来源:气动元件 作者:新益气动 发布时间:2018-11-10 11:09:24 浏览次数:0
随着气动技术的发展,气动元件的应用越来越广泛。通常表达气动元件性能的指标有多种,其中以流量特性很是重要,它指的是元件进出口两端的压强降、元件的有效截面积与流经该元件的流量之间的关系,就相当于电气元件中电压、电阻与电流的关系,是气动元件基本的特性。
关于流量计算公式
气动元件的流量特性曲线表征了流经元件的气流量与元件进出口两端的压强比之间的关系[2-3],它由流量不变段和流量下降段两部分共同组成,如图1所示。其中,b表示流量下降段的起始点所对应的压力比值,称为临界压力比;qm表示质量流量表示max质量流量;P2/P1表示元件背压比。

图1 气动元件流量特性曲线
目前,气动界公认对于同一元件,上游压力和温度一定时,当元件的背压比P2/P1<b时,流经元件的质量流量max,且保持不变,有
(1)
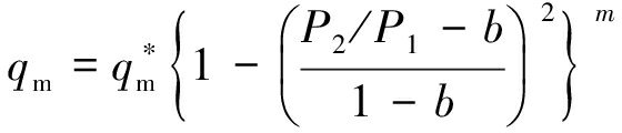
当b<P2/P1≤1时,流经元件的气流量将随背压比的增大而减小,其流量计算公式为
(2)
式中:S表示元件有效截面积;P1和P2分别表示元件上、下游压强;m为亚声速指数,用于表征流量下降段的形状。
由式(2)可知,若能获得指数m=0.5,则可以证明气动元件的流量特性曲线中流量下降段的形状近似为椭圆。本文针对14个不同尺寸的气动小孔做了大量实验研究,并利用ISO6358标准规定的计算方法,活动了各个小孔的m值,见表1,其中d表示气动小孔的内径。

表1 气动小孔的亚声速指数m
由表可见,所有被测气动小孔的m值均位于0.5附近,误差分布在0.8%~5%之间,这与理论推导的结果基本一致,亦即从理论和实验两方面均证实了气动元件流量特性曲线中流量下降段的形状近似为椭圆。
临界压力比
根据ISO6358标准的规定,临界压力比是气动元件的流量特性曲线上的流量不变段和流量下降段的分界点所对应的背压比,它表征了气动元件流量下降段的起始点,是气动元件非常重要的特性参数之一。
通过研究发现,至少对于气动小孔而言,已经有了两种较准确的关于临界压力比的取值方法:ISO6358中提出的min二乘计算方法和气动研究提出的按照b的定义直接在流量特性曲线上取流量下降至95%时所对应的压强比值的方法。为了进一步研究这两种取值方法间的关系,本文针对不同尺寸的气动小孔分别进行了不同上游压强下流量特性的测试实验,并采用两种方法对临界压力比进行了取值。图2所示为其中一个气动小孔的流量特性曲线及两种取值结果的比较,图中的b和b′分别是min二乘计算值和特性曲线上的直接取得值。

图2 临界压力比两种取值方法间的结果比较
由于b′是流量特性曲线上95%处所对应的压强比值,其值较计算值b理应稍大,而图2中气动小孔b和b′值的分布情况正好符合这一理论规律。更重要的是,通过对所有小孔的b和b′进行整理比较,发现b′与b的差值与小孔的尺寸和上游压强等因素基本无关,均位于0.14~0.16之间,近乎常数0.15。这样,就可以先按上述方法在特性曲线上取得b′值,再统一减去该差值常数,以获得的b值,从而省去了min二乘方法的繁琐计算过程,提高了临界压力比的取值效率。
综上所述,对于气动小孔临界压力比两种取值方法间具体关系的这一发现具有非常重要的理论及实用价值,同时,这一现象也值得在各种气动元件气动阀上展开进一步的研究。
相关文章:气动元件
气动元件的维护周期,该如何合理确定?气动元件维护周期的合理确定需要综合考虑多个因素,以下是一些参考要点:...
TIME:2025-02-21